In this article, Shenman Dynamic Balancing Machine Factory mainly shares rotor dynamic balancing technology with everyone, hoping that new and old customers and peers can explore and learn together. The main focus of the explanation is on five aspects: the selection of the front side of the calibration, the number of calibration planes, the balance speed, the vibration measurement points during balance, and the selection of the trial balance mass.

1. The choice of school front
The operation of eliminating the imbalance of the rotor and placing it in a balanced state is called balance correction. Balance correction is performed on a plane perpendicular to the rotor axis, which is called the correction plane. The method of correcting balance within a calibration plane is called eliminating rotor imbalance, and the operation of keeping it in a balanced state is called balance correction. Balance correction is performed on a plane perpendicular to the rotor axis, which is called the calibration plane.
For rotors with thin disc shapes, the force couple imbalance is very small, and in practice, only single-sided balancing is performed. For example, flywheels, grinding wheels, fan blades, clutch discs, and rotors with a maximum outer diameter of more than 5 times their net length.
For rotors with large initial unbalance and excessive vibration during rotation, single-sided balancing should be performed before dynamic balancing to eliminate static unbalance. Calibration is best performed in the plane where the center of gravity is located to reduce the imbalance of the force couple. If the plane where the center of gravity is located does not allow for weight removal, it should generally be done in two planes located on either side of the plane where the center of gravity is located.
For rigid rotors, they generally have static unbalance and even unbalance. The imbalance can be corrected within two correction planes that are perpendicular to the axis, which is called biplane balance. The correction method is generally carried out by weighting or deduplication. The position of the calibration plane is generally determined by the structure of the rotor. To reduce the time and effort spent on balancing operations, efforts should be made to minimize the amount of correction. To achieve good balancing results, the distance and correction radius between the two calibration surfaces should be increased as much as possible under possible conditions.
For rotors such as crankshafts, the angular position for unbalance correction is limited, and using two correction surfaces cannot achieve balance requirements. Therefore, a three face or five face method is required. For rotors with actual operating speeds close to or exceeding the critical speed, they are already flexible in their working state, so the deflection caused by rotation must be considered when balancing. When the actual working speed approaches the critical speed, multiple speeds of two or more calibration surfaces can be used for balancing; When the rotor speed far exceeds the first critical speed and reaches the second critical speed, the balance method above the four calibration planes must be used.
2. Number of correction planes
The selection of the number of calibration planes and axial positions is based on the principle of the mode method, which includes the N method and the N+2 method. That is, the number of calibration planes is determined based on the order N of the mode to be balanced. The main principle is to use N+2 planes to balance low order modes and N planes to balance high-order modes.
As for the selection of the axial position of the correction plane, the following two points should be considered: it can produce a significant balance effect on the balance weight under the corresponding vibration mode; The possibility and convenience of adding weight on a flat surface.
However, in practical balancing, the selected correction plane not only needs to balance the first and second orders, but also needs to balance the third order, which is quite difficult to meet the above two conditions. Therefore, the actual selection of the correction plane is generally evenly distributed within the effective length of the rotor, which can approximately meet the above two conditions and is also beneficial for reducing high-order unbalance.
For the influence coefficient method, the determination of the number of correction planes and axial positions should be based on the mode shape method. Otherwise, it may result in the calculated correction mass being too large to achieve in practice, or significantly disrupting the balance of higher-order modes.
3. Balance speed
The goal of balance is to ensure that the vibration of the rotor meets the requirements within a certain speed range. For flexible rotors with a working speed at least greater than the first critical speed, it is necessary not only to ensure that the vibration at the working speed meets the requirements, but also to ensure smooth passage through each critical speed during the start stop process.
4. Vibration measurement point at equilibrium
For the vibration mode method, theoretically, taking one vibration measurement point is sufficient. For the influence coefficient method, the condition for the system of equations to have a solution is the number of correction planes. The determination of measurement points includes the selection of the axial position and direction of the measurement points. The principle for selecting axial position is: large original vibration; It is close to the correction plane and sensitive to the emphasis on that plane.
For other measurement points, they should be discarded as much as possible. On the one hand, in order to reduce the number of measurement points, and on the other hand, because the accuracy of the influence coefficients of these measurement points is poor, substituting them into the equation will significantly reduce the accuracy of the correction quality calculation. In theory, the determination of the direction of the measuring point can be used as a basis for balancing calculations based on the vibrations in the XYZ directions of the bearing. However, there is a good linear relationship with the unbalanced mass, with vertical vibration, horizontal vibration, and the worst being axial vibration. Moreover, horizontal and axial vibrations often contain significant non fundamental frequency components (unbalanced components are fundamental frequency components).
5. Selection of balance mass for trial addition
Regardless of the balancing method used, the trial weight must be selected correctly before determining the balancing weight. Whether the selection of balance quality is appropriate or not will directly affect the success or failure of the balance test, especially in the balance of amplitude measurement. When the rotor is severely unbalanced or the bearing vibration is too large, if the trial balance mass is too small, it will not cause significant changes in the bearing vibration, and the correct correction mass size and phase cannot be obtained.
The selection of trial weight includes two aspects: size and phase. The selection of phase is generally based on balance experience and reference to balance history records. The main principle for selecting trial weights is: it is best to add them in the opposite direction of the original imbalance to reduce vibration; The size of the test weight should be appropriate, causing a certain degree of vibration change without causing too much vibration change.
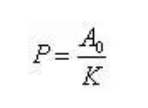
When the rotor is supported on a balance table for balancing experiments, the size of the added balance on a single balance table can be calculated by the following formula:

In the formula, A0 is the original vibration amplitude; K is the sensitivity coefficient of the balance table, m/(g.m).
The sensitivity coefficient K of the balance table is different for rigid first-order and second-order vibrations. For swing and elastic balance tables, the rotor weighs 5-40T, and in the first-order mode, K1=1.5-2.0 m/(g.m); In the second-order mode, K2=3.0~4.0m/(g.m). The sensitivity coefficient varies depending on the mass of the rotor. Generally, the upper limit is set for rotors with small mass, and the lower limit is set for rotors with large mass.
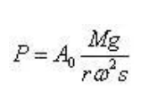
When the rotor is subjected to a balancing experiment on its own support, the mass of each trial addition is estimated by the following formula:

Detailed analysis of the 5 key technical points of rotor balancing
In the formula:
P - trial added mass on one side of the rotor, kg; A0- original vibration amplitude of the bearing on one side of the rotor, m; r - installation radius of the trial added balance mass, m; ω - angular velocity of the rotor at balance, rad/s; M - mass of the rotor, kg; g - gravitational acceleration, m/s ²; s - sensitivity coefficient. For rotating machinery in power plants, the values can refer to the following table.
Reference Table for Rotor Sensitivity Coefficient (Unit: μ m/rad ²)

This article is reproduced online and the copyright belongs to the original author. Please inform us if there is any infringement.

1. The choice of school front
The operation of eliminating the imbalance of the rotor and placing it in a balanced state is called balance correction. Balance correction is performed on a plane perpendicular to the rotor axis, which is called the correction plane. The method of correcting balance within a calibration plane is called eliminating rotor imbalance, and the operation of keeping it in a balanced state is called balance correction. Balance correction is performed on a plane perpendicular to the rotor axis, which is called the calibration plane.
For rotors with thin disc shapes, the force couple imbalance is very small, and in practice, only single-sided balancing is performed. For example, flywheels, grinding wheels, fan blades, clutch discs, and rotors with a maximum outer diameter of more than 5 times their net length.
For rotors with large initial unbalance and excessive vibration during rotation, single-sided balancing should be performed before dynamic balancing to eliminate static unbalance. Calibration is best performed in the plane where the center of gravity is located to reduce the imbalance of the force couple. If the plane where the center of gravity is located does not allow for weight removal, it should generally be done in two planes located on either side of the plane where the center of gravity is located.
For rigid rotors, they generally have static unbalance and even unbalance. The imbalance can be corrected within two correction planes that are perpendicular to the axis, which is called biplane balance. The correction method is generally carried out by weighting or deduplication. The position of the calibration plane is generally determined by the structure of the rotor. To reduce the time and effort spent on balancing operations, efforts should be made to minimize the amount of correction. To achieve good balancing results, the distance and correction radius between the two calibration surfaces should be increased as much as possible under possible conditions.
For rotors such as crankshafts, the angular position for unbalance correction is limited, and using two correction surfaces cannot achieve balance requirements. Therefore, a three face or five face method is required. For rotors with actual operating speeds close to or exceeding the critical speed, they are already flexible in their working state, so the deflection caused by rotation must be considered when balancing. When the actual working speed approaches the critical speed, multiple speeds of two or more calibration surfaces can be used for balancing; When the rotor speed far exceeds the first critical speed and reaches the second critical speed, the balance method above the four calibration planes must be used.
2. Number of correction planes
The selection of the number of calibration planes and axial positions is based on the principle of the mode method, which includes the N method and the N+2 method. That is, the number of calibration planes is determined based on the order N of the mode to be balanced. The main principle is to use N+2 planes to balance low order modes and N planes to balance high-order modes.
As for the selection of the axial position of the correction plane, the following two points should be considered: it can produce a significant balance effect on the balance weight under the corresponding vibration mode; The possibility and convenience of adding weight on a flat surface.
However, in practical balancing, the selected correction plane not only needs to balance the first and second orders, but also needs to balance the third order, which is quite difficult to meet the above two conditions. Therefore, the actual selection of the correction plane is generally evenly distributed within the effective length of the rotor, which can approximately meet the above two conditions and is also beneficial for reducing high-order unbalance.
For the influence coefficient method, the determination of the number of correction planes and axial positions should be based on the mode shape method. Otherwise, it may result in the calculated correction mass being too large to achieve in practice, or significantly disrupting the balance of higher-order modes.
3. Balance speed
The goal of balance is to ensure that the vibration of the rotor meets the requirements within a certain speed range. For flexible rotors with a working speed at least greater than the first critical speed, it is necessary not only to ensure that the vibration at the working speed meets the requirements, but also to ensure smooth passage through each critical speed during the start stop process.
4. Vibration measurement point at equilibrium
For the vibration mode method, theoretically, taking one vibration measurement point is sufficient. For the influence coefficient method, the condition for the system of equations to have a solution is the number of correction planes. The determination of measurement points includes the selection of the axial position and direction of the measurement points. The principle for selecting axial position is: large original vibration; It is close to the correction plane and sensitive to the emphasis on that plane.
For other measurement points, they should be discarded as much as possible. On the one hand, in order to reduce the number of measurement points, and on the other hand, because the accuracy of the influence coefficients of these measurement points is poor, substituting them into the equation will significantly reduce the accuracy of the correction quality calculation. In theory, the determination of the direction of the measuring point can be used as a basis for balancing calculations based on the vibrations in the XYZ directions of the bearing. However, there is a good linear relationship with the unbalanced mass, with vertical vibration, horizontal vibration, and the worst being axial vibration. Moreover, horizontal and axial vibrations often contain significant non fundamental frequency components (unbalanced components are fundamental frequency components).
5. Selection of balance mass for trial addition
Regardless of the balancing method used, the trial weight must be selected correctly before determining the balancing weight. Whether the selection of balance quality is appropriate or not will directly affect the success or failure of the balance test, especially in the balance of amplitude measurement. When the rotor is severely unbalanced or the bearing vibration is too large, if the trial balance mass is too small, it will not cause significant changes in the bearing vibration, and the correct correction mass size and phase cannot be obtained.
The selection of trial weight includes two aspects: size and phase. The selection of phase is generally based on balance experience and reference to balance history records. The main principle for selecting trial weights is: it is best to add them in the opposite direction of the original imbalance to reduce vibration; The size of the test weight should be appropriate, causing a certain degree of vibration change without causing too much vibration change.
When the rotor is supported on a balance table for balancing experiments, the size of the added balance on a single balance table can be calculated by the following formula:

In the formula, A0 is the original vibration amplitude; K is the sensitivity coefficient of the balance table, m/(g.m).
The sensitivity coefficient K of the balance table is different for rigid first-order and second-order vibrations. For swing and elastic balance tables, the rotor weighs 5-40T, and in the first-order mode, K1=1.5-2.0 m/(g.m); In the second-order mode, K2=3.0~4.0m/(g.m). The sensitivity coefficient varies depending on the mass of the rotor. Generally, the upper limit is set for rotors with small mass, and the lower limit is set for rotors with large mass.
When the rotor is subjected to a balancing experiment on its own support, the mass of each trial addition is estimated by the following formula:

Detailed analysis of the 5 key technical points of rotor balancing
In the formula:
P - trial added mass on one side of the rotor, kg; A0- original vibration amplitude of the bearing on one side of the rotor, m; r - installation radius of the trial added balance mass, m; ω - angular velocity of the rotor at balance, rad/s; M - mass of the rotor, kg; g - gravitational acceleration, m/s ²; s - sensitivity coefficient. For rotating machinery in power plants, the values can refer to the following table.
Reference Table for Rotor Sensitivity Coefficient (Unit: μ m/rad ²)

This article is reproduced online and the copyright belongs to the original author. Please inform us if there is any infringement.
48 Views